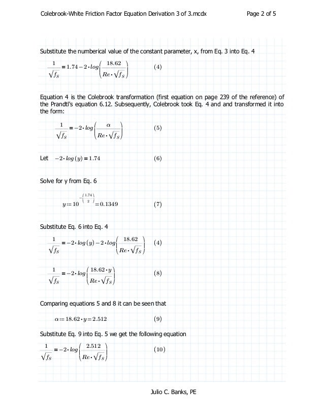
Brahmam Okate Lyrics / Para brahmam okate thandana na ahi thandana na puri thandanaana bhala thandanaana brahmam okate.